Показатели АД v девочек 7—14 лет. мм. от. ст.
Показатели АД у девочек 7—14 лет в зависимости от длины тела, мм. рт. ст.
Показатели АД у мальчиков 7—14 лет, мм. рт. ст.
Показатели АД у мальчиков 7-14 лет в зависимости от длины тела, мм. рт. ст.
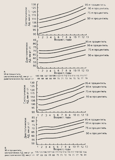
АД у мальчиков (А) и девочек (Б) от 1 года до 13 лет. Важнейшие причины симптоматики заболеваний желудочно-кишечного тракта
Лабораторные исследования гемостаза
Наследственные аномалии факторов свертывания крови
Поделитесь этой записью или добавьте в закладки | ||||||||||||||||||||||||||||||||||||||||||||||||||||||||||||||||||||||||||||||||||||||||||||||||||||||||||||||||||||||||||||||||||||||||||||||||||||||||||||||||||||||||||||||||||||||||||||||||||||||||||||||||||||||||||||||||||||||||||||||||||||||||||||||||||||||||||||||||||||||||||||||||||||||||||||||||||||||||||||||||||||||||||||||||||||||||||||||||||||||||||||||||||||||||||||||||||||||||||||||||||||||||||||||||||||||||||||||||||||||||||||||||||||||||||||||||||||||||||||||||||||||||||||||||||||||||||||||||||||||||||||||||||||||||||||||||||||||||||||||||||||||||||||||||||||||||||||||||||||||||||||||||
Главная